Jerry의 컴퓨터 일기

  • 홈
  • 태그
  • 방명록

2025/02/15 2

[1분 면접] 단위 테스트와 통합 테스트의 차이점

단위 테스트소프트웨어의 가장 작은 단위 (개별 매서드, 함수)의 기능을 검증하는 테스트 통합 테스트개별 모듈들이 결합되어 전체 시스템이 올바르게 동작하는지 검증하는 테스트 모듈 간의 상호작용이 올바르게 동작하는지를 판단 외부 시스템(DB, 네트워크)의 통합을 테스트 슬라이스 테스트특정 레이어 (Controller, Service, Repository)에 대한 테스트애플리케이션의 특정 슬라이스가 올바르게 동작하는지 확인 테스트 코드를 작성하는 이유초기에 버그 발견 리팩토링에 유용개발 속도 향상 코드에 대한 문서 역할

😀 Jerry/면접 질문 2025.02.15

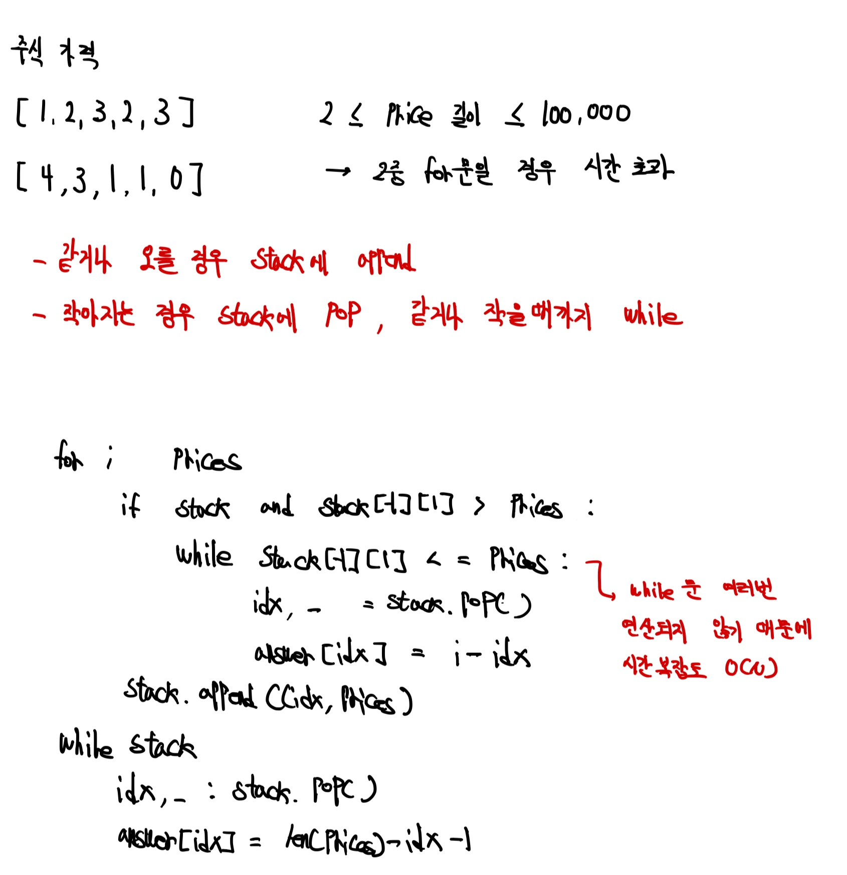
[Python][프로그래머스] 주식 가격 / 스택 (Lv2)

🖇️ 링크 https://school.programmers.co.kr/learn/courses/30/lessons/42584🗒️ 파이썬 코드 풀이def solution(prices): answer = [0] * len(prices) stack = [] for idx,value in enumerate(prices): while stack and stack[-1][1] > value: print(1) k, _ = stack.pop() answer[k] = idx -k stack.append((idx,value)) while stack: idx,_ = stack.pop..

♟️ 알고리즘/알고리즘_프로그래머스 2025.02.15
이전
1
다음
더보기
프로필사진

Jerry의 컴퓨터 일기

기억보다는, 기록을 남깁니다.

  • 분류 전체보기 (287)
    • 🖥️ 컴퓨터 기초 (20)
      • PintOS (15)
      • CS (5)
    • ♟️ 알고리즘 (146)
      • swea (41)
      • 알고리즘_프로그래머스 (12)
      • 알고리즘_백준 (75)
      • Leetcode (17)
      • 기본 개념 (1)
    • ⚙️ Backend (22)
      • Network (10)
      • API (4)
      • DB (6)
      • Docker (0)
    • 🏠 Frontend (3)
    • 📚 Git (8)
    • 🤖 Chat GPT (2)
    • ℹ️ 데이터 (11)
      • 데이터 분석 (6)
      • 크롤링 (5)
    • 🔖Java (5)
      • 프로젝트 (0)
    • 🔖Python (5)
      • Folium (1)
      • Opencv (1)
      • 기타 (2)
    • 🔖JS (4)
    • 🔖 C언어 (1)
    • 🔧 컴퓨터 에러 (5)
    • 😀 Jerry (55)
      • 채용설명회 (3)
      • 마인드셋 (0)
      • 일상 (13)
      • 면접 질문 (39)

Calendar

«   2025/02   »
일 월 화 수 목 금 토
1
2 3 4 5 6 7 8
9 10 11 12 13 14 15
16 17 18 19 20 21 22
23 24 25 26 27 28

방문자수Total

  • Today :
  • Yesterday :

Copyright © Kakao Corp. All rights reserved.

  • 깃허브

티스토리툴바